Light waves pass through slits in a barrier 2a wavelengths apart (left).
Wave interaction can be seen (middle). Interference pattern recorded at distance d is shown (right).
Option-click animation button for best results.
![]()
![]()
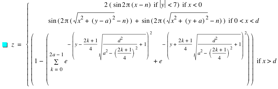
![z=branch(if(2*[if(sin(2*pi*[x-n]),abs(y)<7)],x<0),if(sin([2*pi*[sqrt(x^2+[y-a]^2)-n]])+sin([2*pi*[sqrt(x^2+[y+a]^2)-n]]),0<x<d),if([1-[sum(e^(-[y-((2*k+1)/4*sqrt(d^2/(a^2-[(2*k+1)/4]^2)+1))]^2)+e^(-[y+(2*k+1)/4*sqrt(d^2/(a^2-[(2*k+1)/4]^2)+1)]^2),k=0,2*a-1)]],x>d))](formula4.png)
![]()
This file was created by Graphing Calculator 4.0.
Visit Pacific Tech to download the helper application to view and edit these equations live.